Compliance Corner: Navigating the Regulatory Realm |
|
Are SEPs Still a Viable Tool to Offset Civil Penalties?
The short answer is “yes” for state enforcement actions and “no” for federal enforcement actions. Supplemental Environmental Projects (SEPs) are voluntary commitments proposed by defendants in enforcement actions that provide health and environmental benefits beyond those achieved by compliance which benefit third parties, such as local communities.
An example of an SEP is the installation and operation of an ambient air monitor and the public reporting of the data from that monitor, which is not required by law. After a long history of using SEPs as a settlement tool in federal enforcement cases, the Department of Justice (DOJ) severely restricted the viability of this settlement mechanism when it prohibited the payment of settlement funds to a non-governmental person or entity that is not a party to the enforcement action (85 Fed. Reg. 81409 [Dec. 16, 2020]).
This policy effectively ended most SEPs, including those requiring environmental monitoring, because a defendant in the enforcement action was barred from paying a community organization or for-profit contractor to implement the SEP. The 2020 prohibition was reversed by a DOJ policy change in 2022 (87 Fed. Reg. 27936 [May 10, 2022]). It was then re-instated by another policy memo in 2025 (U.S. Department of Justice, Office of the Attorney General. [Feb. 5, 2025]. Memorandum: Reinstating the Prohibition on Improper Third-Party Settlements. Washington, D.C.) and remains in place today.
Lakes Environmental’s Ambient Quality Management Information System (AQMIS) is a great SEP for state enforcement actions because it is not required by law, but it does provide more rigorous management and reporting of environmental emissions. When the basic air monitoring and air modeling modules are also incorporated into the system AQMIS can help emitting sources, the communities in which they are located, and regulatory agencies have real-time awareness of emissions and the impact of those emissions in the community.
If you’re considering an SEP in a state enforcement matter, or simply want stronger real-time emissions visibility, contact our team to see how AQMIS can help! Reach out to AQMIS@weblakes.com or simply reply to this newsletter to get started today!
|
|
Online CALPUFF Training Course – Jan 27-28, 2026 - Filling Fast! |
 |
Our next available 2-day online online CALPUFF course is filling up quickly. Join us on January 27 and 28, 2026 from 8:30am to 5:00pm (Central Time – Chicago).
Led by our expert instructors, this course offers in-depth instruction and hands-on exercises designed to help you effectively apply the CALPUFF modeling system in real-world scenarios.
Secure your spot by registering today!
|
|
Online AERMOD Training Course – Feb 17-18, 2026 |
 |
Register today for our next available 2-day online AERMOD course taking place on February 17 and 18, 2026 from 8:30am to 5:00pm (Central Time – Chicago, USA).
Register today before space is gone!
Note: Due to the immense popularity of our online courses and small class sizes, we recommend registering and making payment as soon as possible to reserve your spot.
|
|
Lakes Environmental December Holiday Schedule
|
Please find below the holiday schedule for Lakes Environmental’s offices:
December 24 |
Closed |
December 25 |
Closed |
December 26 |
Closed |
January 1 |
Closed |
January 2 |
Closed |
If you have an urgent matter requiring assistance during the holidays, please e-mail us at support@webLakes.com and we will respond to your inquiry during regular business hours.
|
|
UPCOMING TRAINING COURSES |
|

|
MODELING TIP |
AERMOD EVENT Processing |
|
When modeling with source groups in the AERMOD air dispersion model, it is not always obvious how much each source contributes to a calculated concentration. To facilitate source contribution analyses, AERMOD contains a routine called the EVENT model which can analyze user-specified events (e.g., design concentrations, threshold violations) and print each source’s contribution to the short-term (i.e., = 24 hours) event.
To start EVENT processing, you must first have AERMOD produce an EVENT processing input file. This is done via the Control Pathway. In AERMOD View, you’ll find this option under the Event/Error Files section.

The EVENT model contains two levels: Detail (DETAIL) and Source Contribution (SOCONT). SOCONT mode displays the average concentration from each source for the period corresponding to the analyzed event. DETAIL mode also includes hourly average concentrations for each source for every hour in the averaging period.
With the EVENT model input file enabled, executing AERMOD will produce a list of events in the specified file. By default, design concentrations (the output options defined in the Receptor Table of the Output Pathway) and any threshold violations identified in the Threshold Violation Files (OU MAXIFILE keyword) are written to the EVENT processing input file.
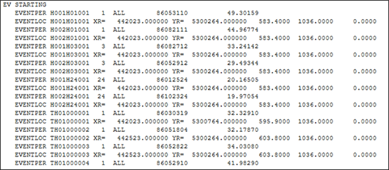
The image below is an example EVENT processing input file containing high-first-high and high-second-high concentrations for the 3-hour and 24-hour averaging periods in addition to a few threshold violation events.

The next step is to run AERMOD again using the EVENT processing input file. This will initialize the EVENT model run to calculate source contributions. In AERMOD View, this is done via the Run menu.


The EVENT Output File can be opened in any text editor. In AERMOD View, go to the Output menu and select EVENT Output File to view the data.
In addition to the source contribution data, meteorological data conditions are also printed for reference. The example below shows an event corresponding to a threshold violation for a 3-hour average.

|
|

|
ENVIRONMENTAL NEWS ARTICLES |
Carbon-Rich Waters are Becoming Even More Acidic as Atmospheric CO2 Levels Rise |
November 14, 2025 - The waters bordering North America could soon be inhospitable to critical marine creatures if the Northeastern Pacific Ocean continues to acidify at the current rate, a new study shows.
Read more → |
|
Climate Change Expands Wildfire Danger Worldwide: New Study Warns of Unprecedented Risks in the Coming Decades |
November 11, 2025 - A new study, led by CMCC and Coventry University, reveals that climate change will dramatically expand wildfire danger across the globe, with up to 91% of fire-prone regions experiencing heightened risk by the end of this century.
Read more → |
|
|
|
UPCOMING CONFERENCES |
2026 Conference Schedule |
|
TCEQ Environmental Trade Fair and Conference (ETFC)
May 19-20, 2026 | San Antonio, TX | Booth #522
Learn more →
Air & Waste Management Association’s 119th Annual Conference & Exhibition
Jun 21-24, 2026 | Austin, TX | Booth #401
Learn more →
|
|
|
LAKES SOFTWARE GROUP OF COMPANIES
|
 |
1-170 Columbia St. W.
Waterloo, ON N2L 3L3
View Online
This newsletter contains information gleaned from various sources on the web, with complete links
to the sources cited. Organizations cited are in no way affiliated with Lakes Environmental Software.
For more information, please visit our web site at: www.webLakes.com.
All comments and suggestions are welcome. You can e-mail us at: support@webLakes.com.
Privacy Policy |
|
| | | |